Follow Us :

Rheometer

Instrument Type:

RST-CPS; HAAKE MARS60; DHR-2

Analytical Program:

Measurement with rheometer -- Contact us for quotation

Contact Us

Introduction

Rheometers are instruments used to measure the deformation and rheological properties of substances under external forces, with tests such as

Shear rheology: to determine the deformation properties and stress-strain relationships of materials under shear stress, e.g. shear modulus, viscosity, shear rate and shear stress.

Tensile Rheology: Determination of deformation properties and stress-strain relationships under tensile stress, e.g. tensile modulus, strain, stress at break and elongation at break.

Dynamic time scan: Determination of the dynamic time response of a material under cyclic loading, including storage modulus, loss modulus and phase angle.

Viscoelasticity testing: Determines the deformation and stress response of a substance under cyclic loading, including storage modulus, loss modulus and phase angle.

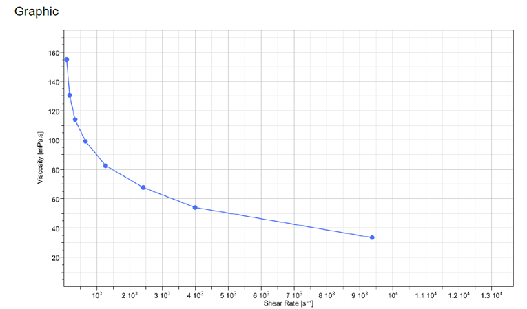
Viscosity testing: Determines the viscosity of a substance, including variation of viscosity with shear rate and variation of viscosity with temperature, etc.

Time effects in rheology: Determining the pattern of change in the rheological properties of a substance over a long period of time or under high stress, e.g. creep and rebound.

Temperature effects: Determining the pattern of change in the rheological properties of substances at different temperatures, e.g. glass transition temperature, melting temperature, rheological index and temperature sensitivity, etc.

Low temperature tests: Determine the pattern of changes in the rheological properties of substances at low temperatures, e.g. deformation and recovery on cooling.

High pressure tests: Determine the rheological properties of materials under high pressure, including deformation rate and elastic modulus.

Representive Results

1. Sample1 for rheometer (peach gun)
2. Samples for Rheometer (Asphalt)
3. Sample for Rheometer (Yield stress of toothpaste)

Sample Requirement

1. Liquid samples

5-30ml of sample should be prepared, more for low viscosity liquids and less for high viscosity liquids.

2. Solid samples

Confirm the solvent used to dilute the sample and the size of the concentration.

Solid samples can be made into discs of a certain size, usually 20mm or 35mm in diameter and 1-3mm thick, and tested in oscillation mode.

4. It is recommended to prepare multiple samples of the same sample in different modes.

Liquid samples are the norm, semi-solid and solid samples should be specified in advance, and samples should be liquid.

Related Products

Ar lon Milling / Polishing

Reference price: from 200 CHF/sample

Read More
SEM Morphology Characterization

Reference price: from 80 CHF/sample

Read More
Surface Area and Porosity Analyzer BET

Reference price: from 20 CHF/sample

Read More
Ultraviolet/Visible/Near Infrared Spectroscopy

Reference price: from 50 CHF/sample

Read More